今天是:
设为首页
|
加入收藏
|
贵宏建筑
|
贵宏锅炉
|
管理后台
首页
寻根问祖
辈序排行
五次全谱
家族联系
修谱图片
续修族谱
功德表
五次全谱
第一卷
第二卷
第三卷
第四卷
第五卷
第三卷
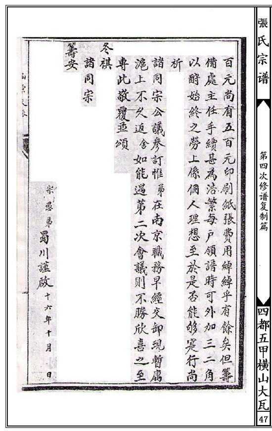
函知修谱辦法 ………………………………………………114
2012-04-16 14:40:46 编辑者:
上一篇:
修谱標语 ……………………………………………………113
下一篇:
报告调查近况 ………………………………………………119